Предмет: Алгебра,
автор: kkempis
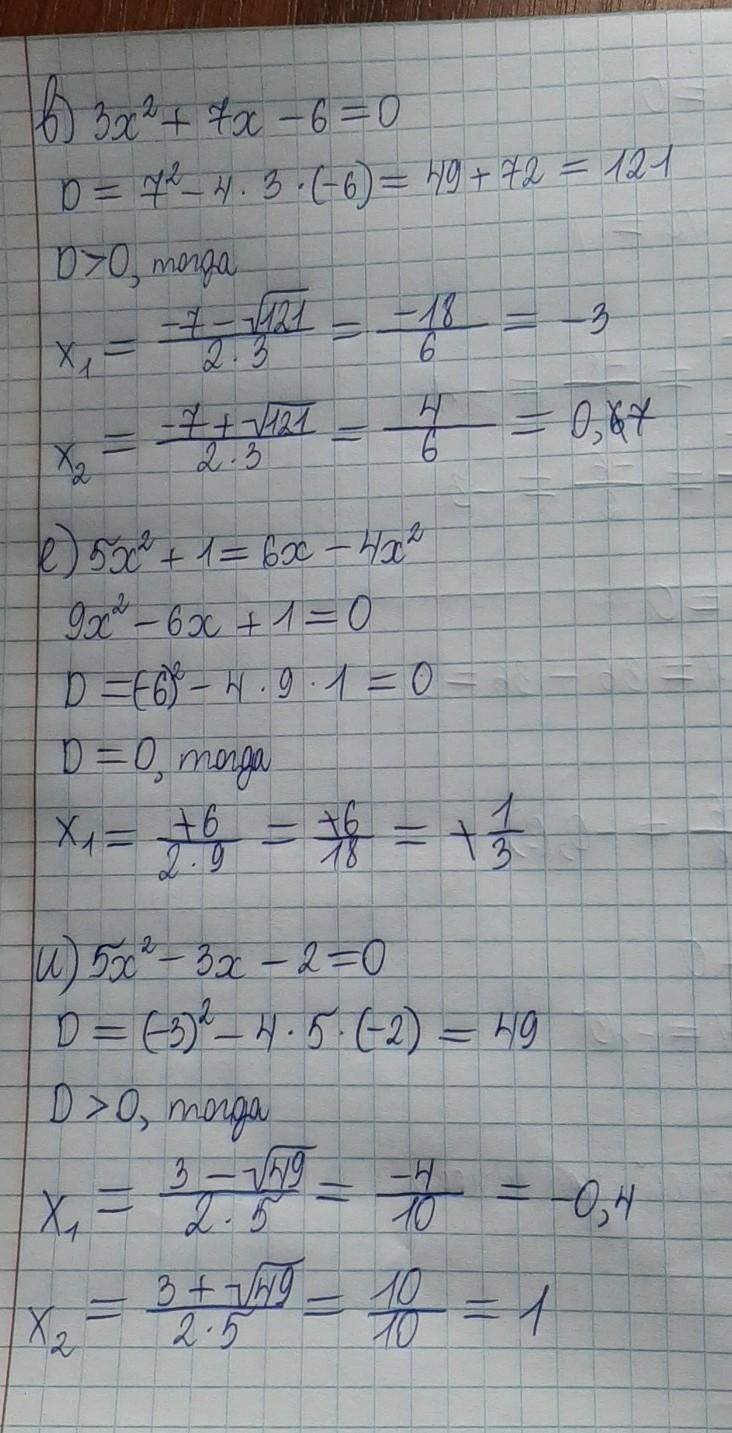
Квадратные уравнения помогите пожалуйста
Приложения:
Ответы
Автор ответа:
1
Ответ:
Буду решать через дискриминант, но сразу говорю, в одном или двух уравнениях я мог допустить ошибку, я в 7 классе просто( Сделал немного в разброс
Приложения:
Похожие вопросы
Предмет: Английский язык,
автор: пощаькшщ
Предмет: Русский язык,
автор: annakarimove
Предмет: Английский язык,
автор: Аноним
Предмет: Математика,
автор: xxxaivan89
Предмет: Английский язык,
автор: NatysaT