Предмет: Алгебра,
автор: elenabelkina
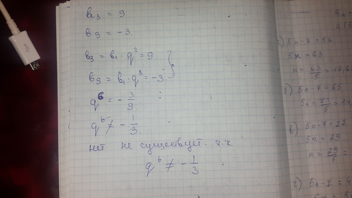
Существует ли геометрическая прогрессия в которой третий член равен 9,а девятый член равен -3?
Ответы
Автор ответа:
0
"""""""""""""""""""""""""""""""""""""
Приложения:
Похожие вопросы
Предмет: География,
автор: YoZhukYT
Предмет: Математика,
автор: aizada1246
Предмет: Математика,
автор: tanakovaleva92
Предмет: Физика,
автор: Валентиновнаа