Предмет: Алгебра,
автор: samirlsgrov45
Алгебра даладвжвльвжвьвдвжаддв
Приложения:
Ответы
Автор ответа:
0
..........................
Приложения:
Автор ответа:
1
Ответ:
Объяснение:
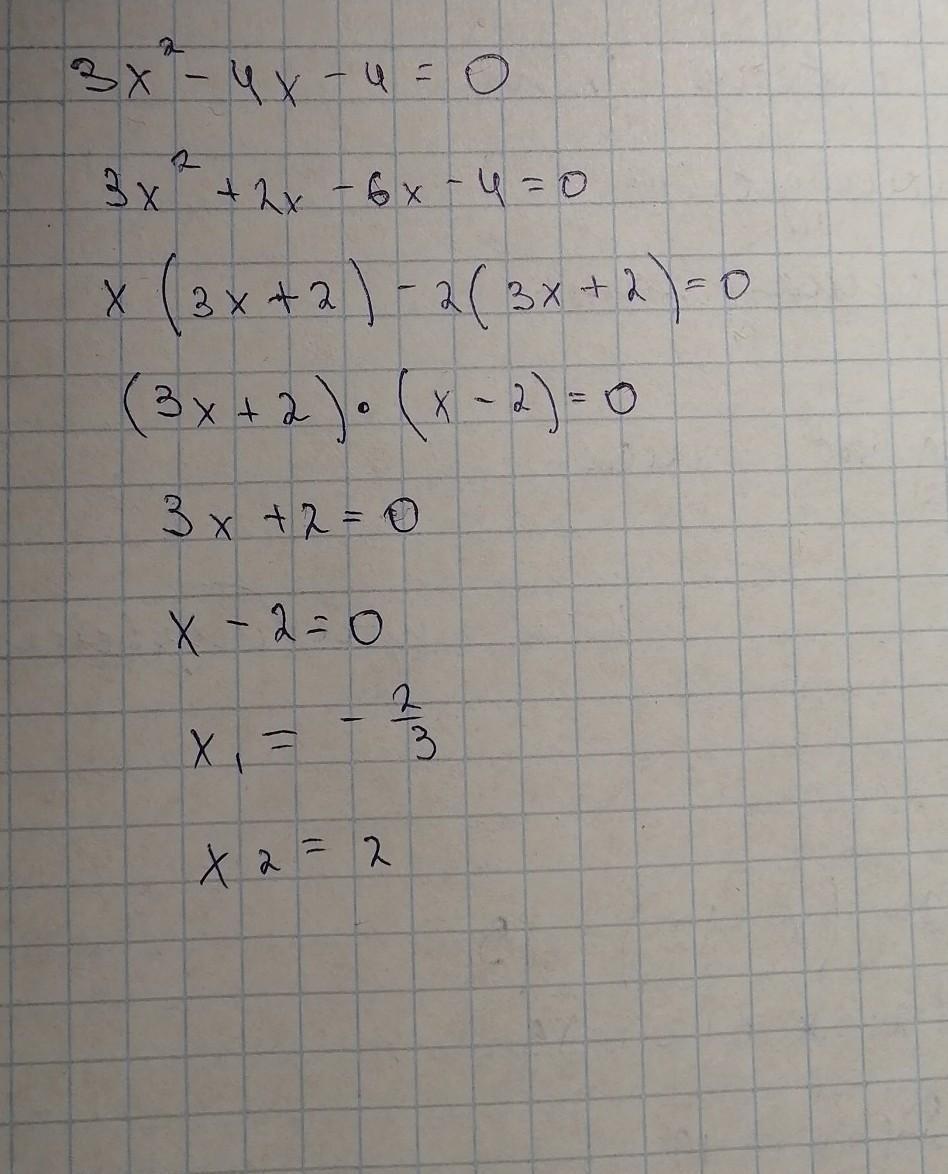
на фото
Приложения:
Похожие вопросы
Предмет: Русский язык,
автор: Аноним
Предмет: Русский язык,
автор: Mishulik10
Предмет: Русский язык,
автор: plai6
Предмет: Английский язык,
автор: angelina36719
Предмет: Математика,
автор: ktsmrnv