Предмет: Алгебра,
автор: DRAGONDULL
Даю 60 балов, срочно прошу, надо решить 2-б, 3, 4
Приложения:
Ответы
Автор ответа:
1
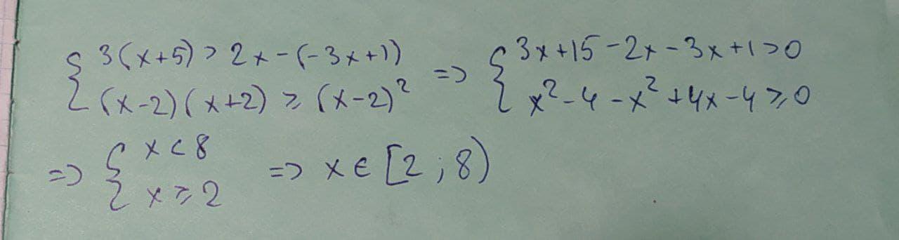
Ответ:
решения на картинках
для 4 задания ответы: 2, 3, 4, 5, 6, 7
Объяснение:
1 картинка - 3 задание
2 картинка - 4 задание
3 картинка - 2 б
Приложения:
DRAGONDULL:
сделай пж еще 5 задание
накину еще балов
так и быть
жди у меня в профиле новой вопрос
вопрос задан
ну же ты где, прошу срочно сделать
доделываю
Похожие вопросы
Предмет: Другие предметы,
автор: semuel06
Предмет: Русский язык,
автор: Аноним
Предмет: Окружающий мир,
автор: Птиц1
Предмет: Английский язык,
автор: rutkamargo17