Предмет: Алгебра,
автор: nazarsav14235
Помогите!!!!!!!!!!!!!
Приложения:
romakantayev:
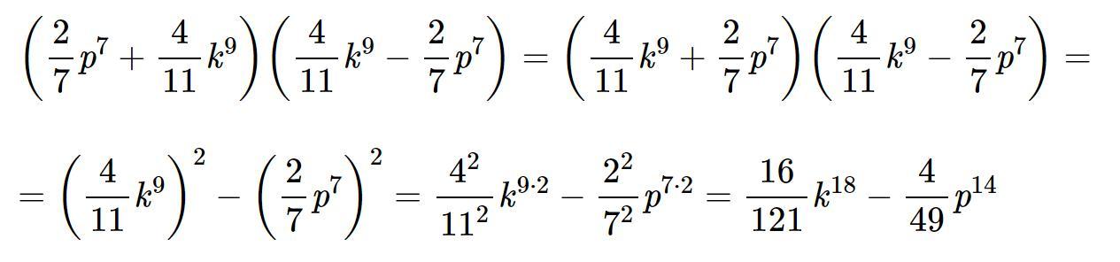
(2/7p⁷ + 4/11k⁹)(4/11k⁹ - 2/7p⁷)
Ответы
Автор ответа:
0
Ответ:
если нужно было сложить по формуле, то вот ответ
Объяснение:
Приложения:
нечего не понятно можеж тут написать пж
ауууу
Походу поздно, ну сори
Автор ответа:
1
...................................
Приложения:
помоги пж (0.2m³-0.8n⁶)(0.2m³+0.8n⁶)
=(0,2m³)²-(0,8n⁶)²=0,04m⁶-0,64n¹²
Похожие вопросы
Предмет: Русский язык,
автор: настя4245
Предмет: Українська мова,
автор: vaschenckomaxim
Предмет: Русский язык,
автор: Нурай20071
Предмет: Математика,
автор: vagifgagap4vnnx
Предмет: Математика,
автор: dashamilogradova