Предмет: Математика,
автор: даancc
Помогите пожалуйста решить
Приложения:
Ответы
Автор ответа:
0
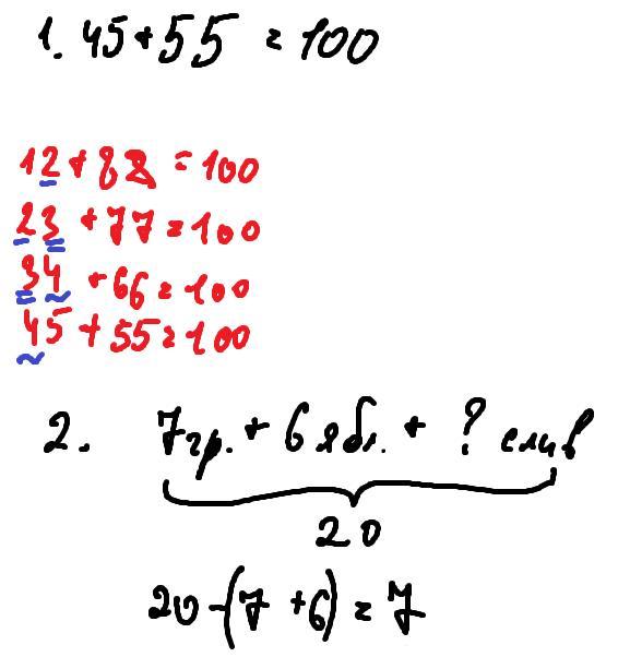
Відповідь:
Покрокове пояснення:
1) 50 + 50
2) 20 - ( 7 + 6 ) = 7
Автор ответа:
0
Ответ:
Фото
Пошаговое объяснение:
Приложения:
Похожие вопросы
Предмет: Русский язык,
автор: лкд2
Предмет: Русский язык,
автор: ЗабиякинаАлина
Предмет: Русский язык,
автор: xonkil
Предмет: История,
автор: liza12345678941
Предмет: Литература,
автор: musia88