Предмет: Алгебра,
автор: ospanivagulsaule
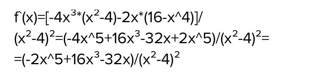
f(x)=16-x⁴/x²+4
найти производную помогитеее срочноо
Ticher1997:
ты лучше задание сфоткай и пришли
Ответы
Автор ответа:
1
Вот держи вроде правильно)
Приложения:
ооо спасибо большое
Похожие вопросы
Предмет: Русский язык,
автор: kondr1122
Предмет: Английский язык,
автор: Tsagay
Предмет: Русский язык,
автор: oNneT
Предмет: Математика,
автор: arleta6364