Предмет: Алгебра,
автор: zamilaaralbaeva24
помогите плиз,50 балов
Приложения:
Ответы
Автор ответа:
1
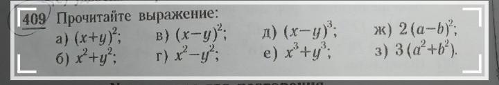
Ответ:
1.квадрат суммы чисел х и у
2.сумма квадратов чисел х и у
3.квадрат разности чисел х и у
4.разность квадратов чисел х и у
5. куб разности чисел х и у
6.сумма кубов чисел х и у
7.удвоенрый квадрат разности чисел а и b
8. утроенная сумма квадратов чисел а и b
Объяснение:
Су
Похожие вопросы
Предмет: Русский язык,
автор: Denolla
Предмет: Русский язык,
автор: Elenaelena1512
Предмет: Русский язык,
автор: 1231820
Предмет: Русский язык,
автор: boevik2006
Предмет: Другие предметы,
автор: tabakluyulia