Предмет: Математика,
автор: glrpp27pce3s
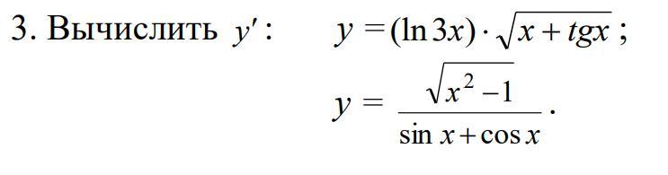
Помогите решить пожалуйста
Приложения:
Ответы
Автор ответа:
0
Відповідь:
ответ на фото.
Приложения:
Автор ответа:
0
Ответ:
....................
Приложения:
Похожие вопросы
Предмет: Русский язык,
автор: Аноним
Предмет: Русский язык,
автор: v1one1
Предмет: Українська література,
автор: 0dv0
Предмет: Геометрия,
автор: crybaby89
Предмет: Қазақ тiлi,
автор: bashtovenko61