Предмет: Алгебра,
автор: hMariana
Дуде треба!При яких значеннях а квадратне рiвняння x ^ 2 + 2(a + 1) * x + a ^ 2 = 0 не має коренів?
Ответы
Автор ответа:
1
Ответ:
ну так
Объяснение:
Приложения:
hMariana:
Спасибо!
Автор ответа:
1
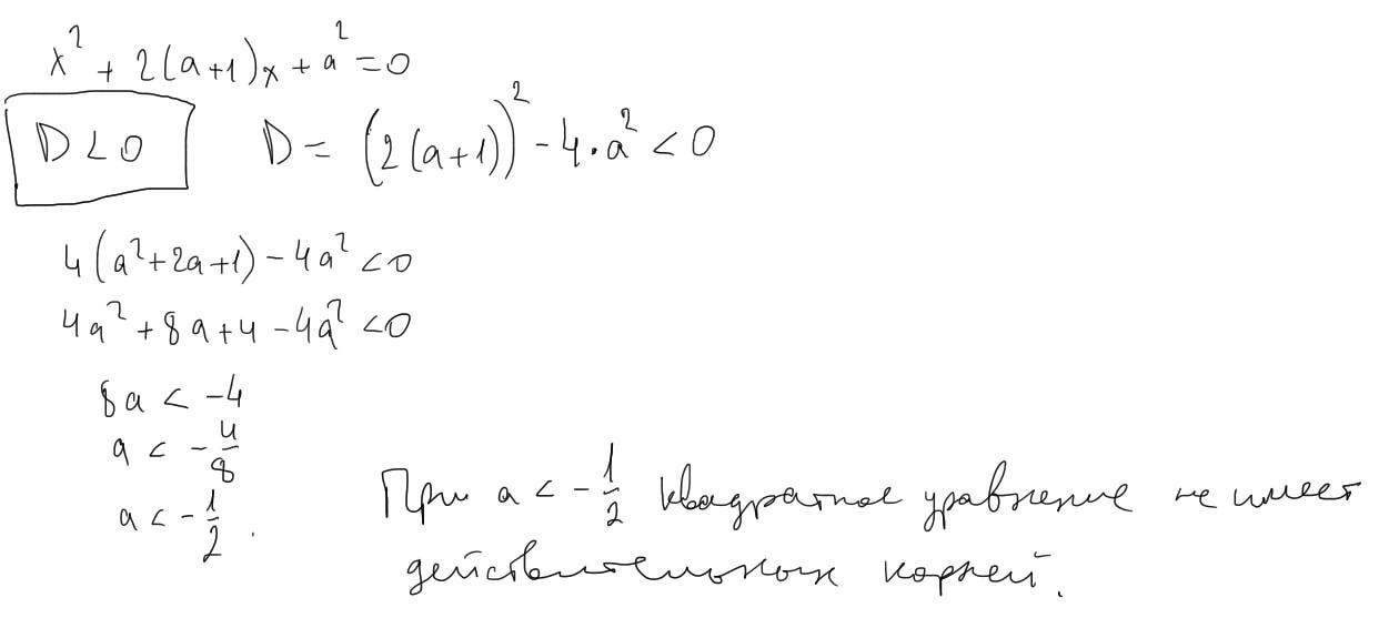
x ^ 2 + 2(a + 1) * x + a ^ 2 = 0 не має коренів
1. a = -1 ⇒ x ^ 2 + a ^ 2 = 0
2. D < 0
(2(a + 1))² - 4a² < 0
4(a² + 2a + 1) - 4a² < 0
4a² + 8a + 4 - 4a² < 0
8a < -4
a < -1/2
ответ а ∈ (-∞, -1/2)
Спасибо!
здравствуйте можете помочь по алгебре
Похожие вопросы
Предмет: Английский язык,
автор: ipavych
Предмет: Қазақ тiлi,
автор: асем46
Предмет: Английский язык,
автор: Аноним
Предмет: Физика,
автор: Аноним
Предмет: Информатика,
автор: millervioletta