Предмет: Математика,
автор: ura7maks
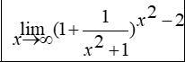
вычислить предел не используя правило Лопиталя
Приложения:
Ответы
Автор ответа:
0
Ответ:
Пошаговое объяснение:
Приложения:
Похожие вопросы
Предмет: Русский язык,
автор: vaniaIancev
Предмет: Қазақ тiлi,
автор: Kotunochek
Предмет: Русский язык,
автор: demonVoron666
Предмет: Немецкий язык,
автор: knyaginyaolga
Предмет: Английский язык,
автор: aydin123