Предмет: Математика,
автор: dgame4922
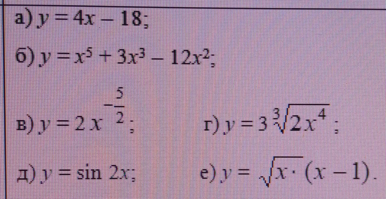
Вычислите производные функций.
Приложения:
Ответы
Автор ответа:
0
Ответ:
а)
б)
у=x⁵+3x³-12x²
y=0⁵+3×0³-12×0²
y=0
Похожие вопросы
Предмет: Русский язык,
автор: Аноним
Предмет: Русский язык,
автор: Аноним
Предмет: Русский язык,
автор: tynua
Предмет: Русский язык,
автор: metenova4546