Предмет: Математика,
автор: Ulyana260210
помогите пожалуйста.
Приложения:
Ответы
Автор ответа:
1
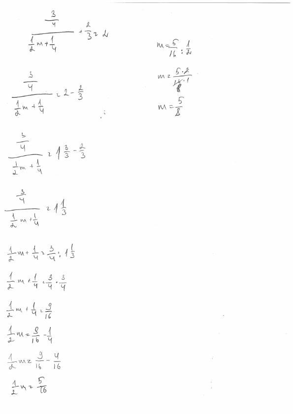
Ответ:
ответ во вложении
Пошаговое объяснение:
Приложения:
Ulyana260210:
Спасибо огромное!!! Все правильно!!!
Автор ответа:
1
Ответ:
Пошаговое объяснение:
Приложения:
Похожие вопросы
Предмет: Русский язык,
автор: fadadada
Предмет: Українська мова,
автор: Kekish228
Предмет: Английский язык,
автор: ВанёкМВД
Предмет: Математика,
автор: elmanmamedov2002
Предмет: Геометрия,
автор: degtayralena