Предмет: Алгебра,
автор: тамик2000
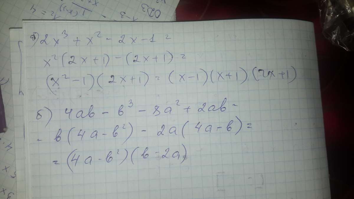
Представьте в виде произведения
Заранее спасибо!
Приложения:
Ответы
Автор ответа:
0
"""""""""""""""""""""""""""""""""""""""""""""""
Приложения:
Похожие вопросы
Предмет: Математика,
автор: abduvapovaasa280
Предмет: Английский язык,
автор: irochka22000
Предмет: Биология,
автор: ekaterinastancheva
Предмет: Литература,
автор: просто1000
Предмет: Математика,
автор: Ленгит