Предмет: Математика,
автор: gisoazman
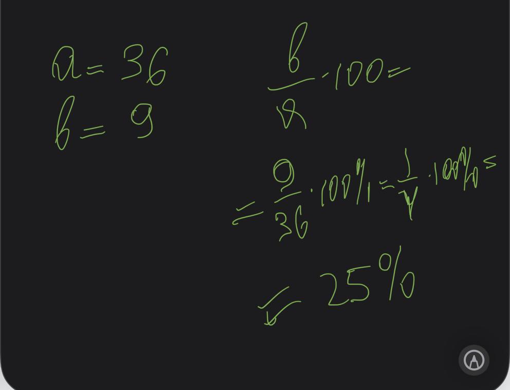
Из 36 учеников 6 класса девять учащихся получили 5 за контрольную по математике, сколько процентов учащихся получили 5 ?
Ответы
Автор ответа:
0
Ответ: 25
Пошаговое объяснение:
Приложения:
Автор ответа:
0
36 уч-100%
9 уч- х
х=9•100/36=25%
Похожие вопросы
Предмет: Русский язык,
автор: lgrmgv
Предмет: Окружающий мир,
автор: yekayevmusa
Предмет: Українська література,
автор: cnfc1971
Предмет: Математика,
автор: Ілля0000
Предмет: Математика,
автор: Касымхан1