Предмет: Математика,
автор: versachexdior
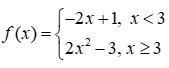
Дана функция: (функция на картинке)
Найдите f(f(-1))
Приложения:
Ответы
Автор ответа:
1
f(x) = -2x + 1 x < 3
= 2x² - 3 x ≥ 3
f(-1) = {-1 < 3} = -2*(-1) + 1 = 2 + 1 = 3
f(f(-1)) = f(3) = { 3 ≥ 3} = 2*3² - 3 = 18 - 3 = 15
ответ 15
versachexdior:
помогите ещё раз плиз
Похожие вопросы
Предмет: Русский язык,
автор: lina393
Предмет: Русский язык,
автор: эвелина2007
Предмет: Русский язык,
автор: ната384
Предмет: Химия,
автор: diankaKasyanova
Предмет: Русский язык,
автор: sundetysaev123