Предмет: Алгебра,
автор: danilenkoroma2oyecv7
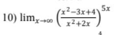
Решите пожалуйста лимит
Приложения:
Ответы
Автор ответа:
1
Ответ:
На фото..............
Приложения:
Похожие вопросы
Предмет: Другие предметы,
автор: KOSTYAMN
Предмет: Английский язык,
автор: bozok79
Предмет: Қазақ тiлi,
автор: kazrus2006
Предмет: Математика,
автор: eriknaz86
Предмет: Физика,
автор: princesska000111