Предмет: Алгебра,
автор: khe76066
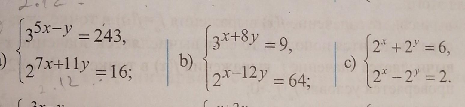
показательные уравнения и их системы 10 класс пример 41
Приложения:
Ответы
Автор ответа:
1
Решение представлено на фото
Приложения:
khe76066:
большое спасибо я благодарна тебе ☺️
Была рада помочь☺️
☺️
как мне лучше понимать алгебру, я смотрела в ютубе учительница объясняет в школе но я не как не могу понять её, с чего ты начинала?
Похожие вопросы
Предмет: Русский язык,
автор: Miss95Nika
Предмет: Английский язык,
автор: алияюнусовп03072006
Предмет: Русский язык,
автор: gyvnuh
Предмет: Алгебра,
автор: minecraftblogep953rq
Предмет: География,
автор: veronika5811