Предмет: Алгебра, автор: sanyagorchakov05

Избавиться от иррациональности в знаменателе дроби. Решите пожалуйста. Если можно подробнее.

Приложения:

Ответы

Автор ответа: IdleFri
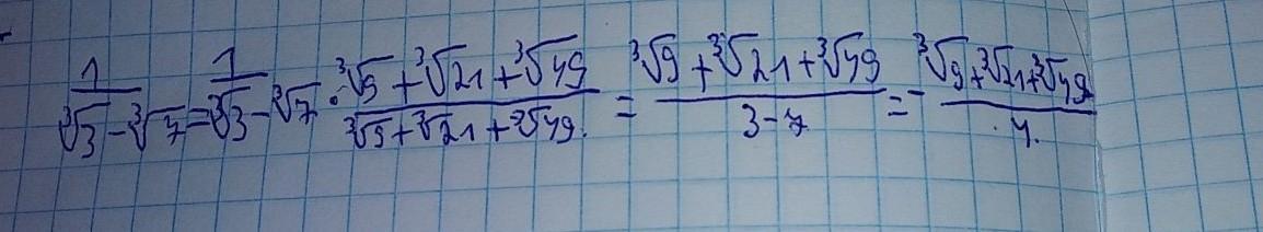
2

Ответ:

В конце минус я перенес от -4(поскольку там при 3-7=-4)

Приложения:
Автор ответа: rubetna5
2

Объяснение:

 \frac{1}{ \sqrt[3]{3}  -  \sqrt[3]{7} }  \times   \frac{ \sqrt[3]{9}  +  \sqrt[3]{21}  +  \sqrt[3]{49} }{\sqrt[3]{9}  +  \sqrt[3]{21}  +  \sqrt[3]{49} }  =

 =  \frac{\sqrt[3]{9}  +  \sqrt[3]{21}  +  \sqrt[3]{49}}{( \sqrt[3]{3}  -  \sqrt[3]{7})(  \sqrt[3]{9}  +  \sqrt[3]{21}  +  \sqrt[3]{49})   }  =

 =  \frac{\sqrt[3]{9}  +  \sqrt[3]{21}  +  \sqrt[3]{49}}{3 - 7 }  =

 =  \frac{\sqrt[3]{9}  +  \sqrt[3]{21}  +  \sqrt[3]{49}}{ - 4}  =

 =  -  \frac{\sqrt[3]{9}  +  \sqrt[3]{21}  +  \sqrt[3]{49}}{4}

Похожие вопросы
Предмет: Окружающий мир, автор: Нюша5671
Предмет: Українська мова, автор: артем15567
Предмет: Алгебра, автор: uldmode11
Предмет: Физика, автор: Gmamedova07