Предмет: Математика,
автор: noname6793
10. Вычислите пожалуйста (фото задания есть),ненавижу математику господи
Приложения:
Ответы
Автор ответа:
1
Ответ:
Пошаговое объяснение:
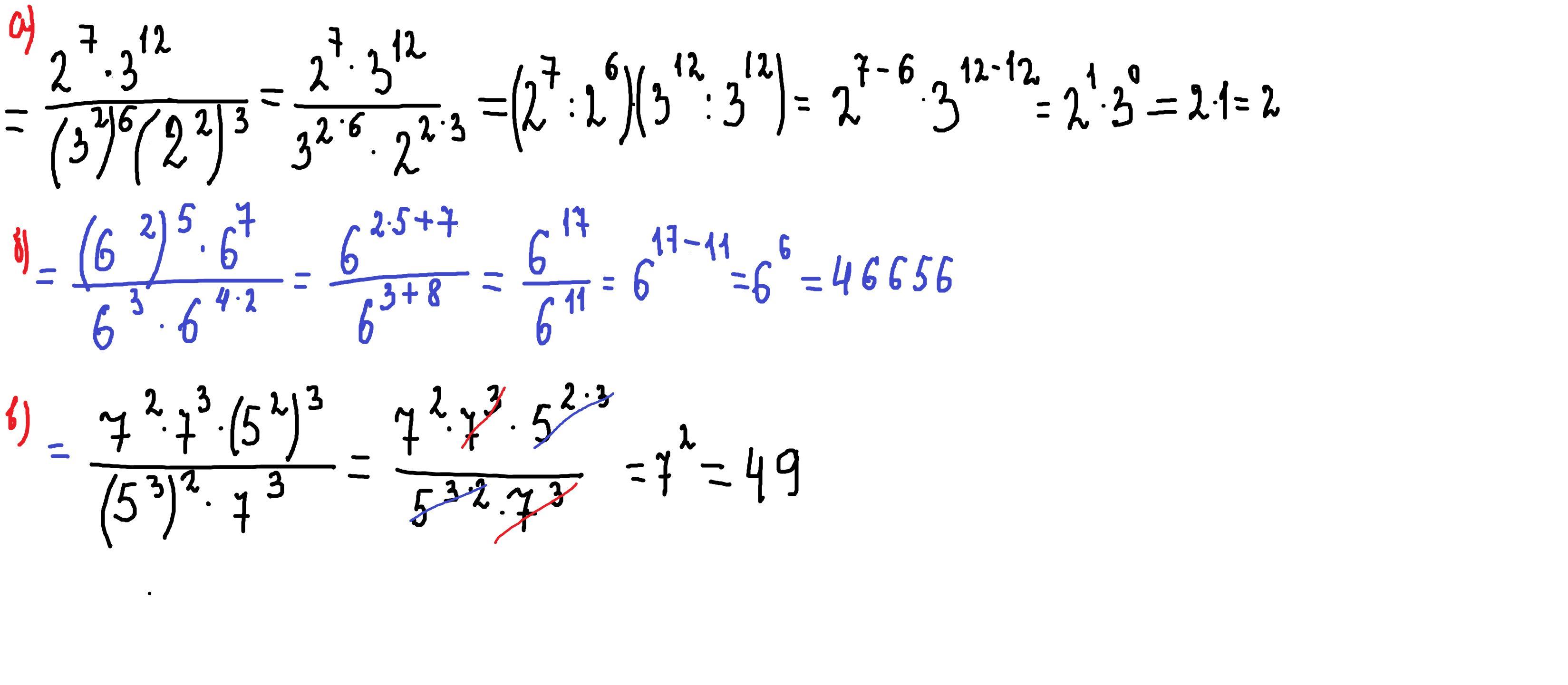
решение внизу
Приложения:
noname6793:
спасибо
.ллл
Похожие вопросы
Предмет: Английский язык,
автор: ionovasofya42
Предмет: Русский язык,
автор: Basus
Предмет: Українська мова,
автор: QWEN79
Предмет: Физика,
автор: Duniska666754678
Предмет: Английский язык,
автор: dfdfe26