Предмет: Математика,
автор: sahazievdiko
-

пожалуйста отправьте мне на вопрос
Ответы
Автор ответа:
1
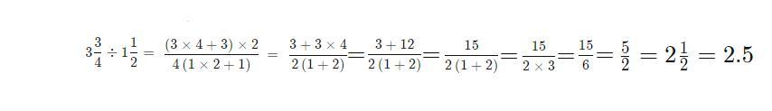
Ответ:
2,5
Пошаговое объяснение:
На картинке
Приложения:
Автор ответа:
1
Ответ:
Пошаговое решение
3 3/4 :1 1/2 = 2 1/2
Похожие вопросы
Предмет: Русский язык,
автор: stanislavxp
Предмет: Қазақ тiлi,
автор: kristinazyskin
Предмет: Русский язык,
автор: Аноним
Предмет: Физика,
автор: Clllever
Предмет: Русский язык,
автор: katamiska025