Предмет: Математика,
автор: nataliyaselezneva
ОЧЕНЬ СРОЧНО НУЖНЫ ОТВЕТЫ!!
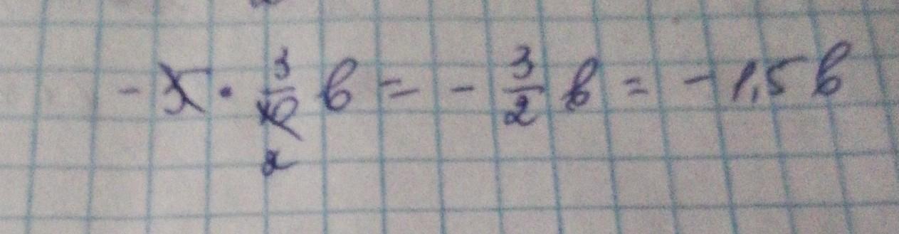
2) -5 • 3/10b
Приложения:
Ответы
Автор ответа:
1
Ответ:
Смотри решение на фото..
Приложения:
Автор ответа:
0
Сокращаем 5 и 10 и получаем -3/2b
Все
Похожие вопросы
Предмет: Английский язык,
автор: DV160206
Предмет: Русский язык,
автор: anarhan90
Предмет: Русский язык,
автор: bogdanova123451
Предмет: Русский язык,
автор: SergePlombir
Предмет: Английский язык,
автор: flower0203