Предмет: Геометрия,
автор: KooksNirvana
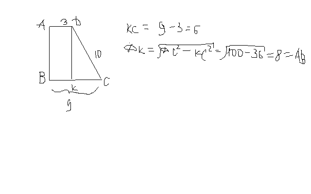
ABCD-трапеция.<A=<B=90`.Найдите AB,если AD=3,CB=9,DC=10.
Ответы
Автор ответа:
0
это прямоугольная трапеция.
Приложения:
Похожие вопросы
Предмет: Қазақ тiлi,
автор: fyxezzz20
Предмет: Математика,
автор: alenalis2414
Предмет: ОБЖ,
автор: gasaydaria
Предмет: Алгебра,
автор: stepan0
Предмет: Геометрия,
автор: Alenka190498