Предмет: Алгебра,
автор: alinapivovarenko165
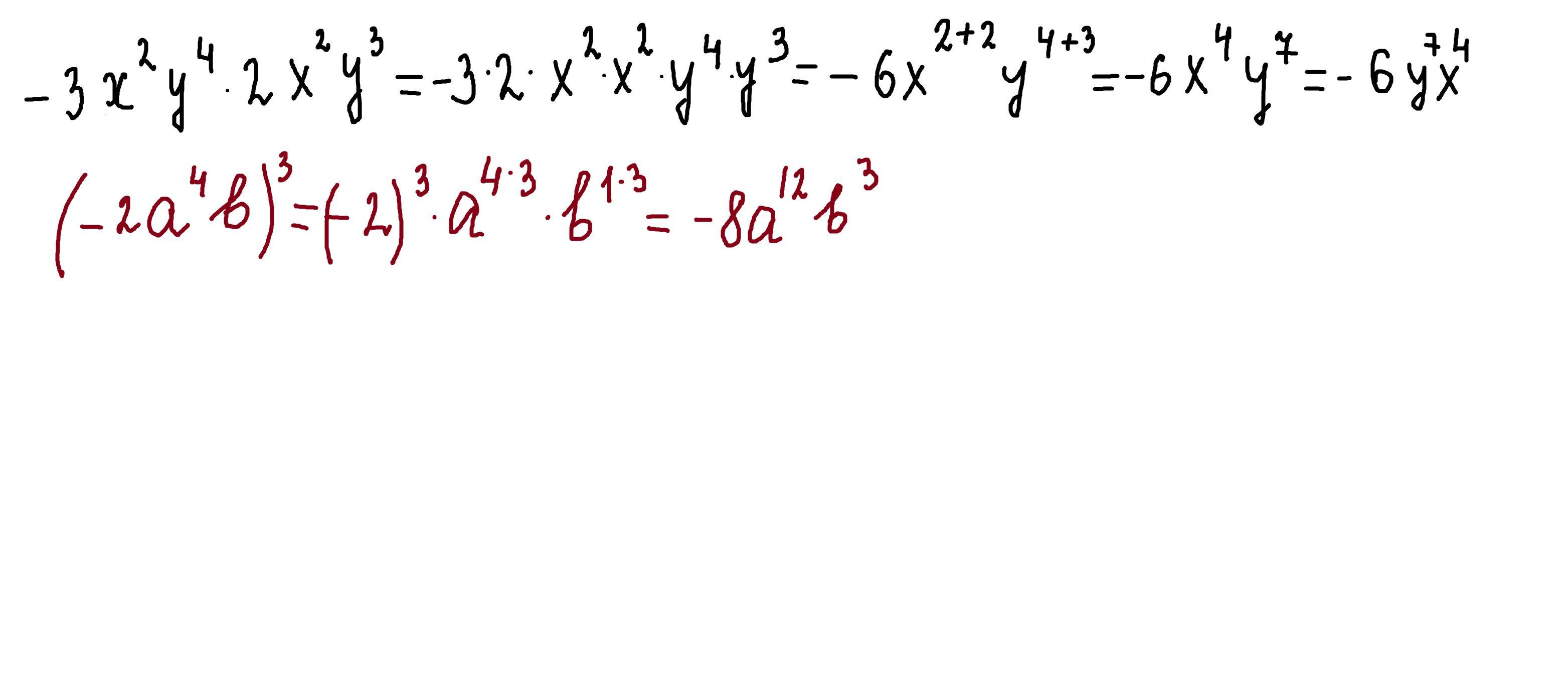
Подати у вигляді одночлена стандартного типу
Приложения:
Ответы
Автор ответа:
2
Ответ:
Объяснение:
решение внизу
Приложения:
Похожие вопросы
Предмет: Українська література,
автор: masha5602
Предмет: Русский язык,
автор: svetlana051983
Предмет: Русский язык,
автор: 89154551675
Предмет: Литература,
автор: ivancherepanov47
Предмет: Алгебра,
автор: 12345612345612