Предмет: Алгебра, автор: sjajie

Выполните действия:
Помогите

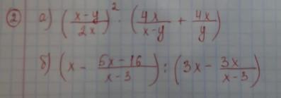
Приложения:

Ответы

Автор ответа: Avantgardе
1

a)\ \ \bigg(\dfrac{x-y}{2x}\bigg)^2\cdot\bigg(\dfrac{4x}{x-y}+\dfrac{4x}y\bigg)=\dfrac{(x-y)^2}{4x^2}\cdot\dfrac{4xy+4x(x-y)}{(x-y)y}=

=\dfrac{x-y}{4x^2}\cdot\dfrac{4xy+4x^2-4xy}{y}=\dfrac{x-y}{4x^2}\cdot\dfrac{4x^2}{y}=\dfrac{x-y}y

b)\ \ \bigg(x-\dfrac{5x-16}{x-3}\bigg):\bigg(3x-\dfrac{3x}{x-3}\bigg)=\dfrac{x(x-3)-5x+16}{x-3}:\dfrac{3x(x-3)-3x}{x-3}=

=\dfrac{x^2-3x-5x+16}{x-3}\cdot\dfrac{x-3}{3x^2-9x-3x}=\dfrac{x^2-8x+16}{3x^2-12x}=\dfrac{(x-4)^2}{3x(x-4)}=\dfrac{x-4}{3x}

Похожие вопросы