Предмет: Математика, автор: Makhamed

помогите решить пожалуйста дам 50 баллов

Приложения:

Ответы

Автор ответа: Sanja2071
1

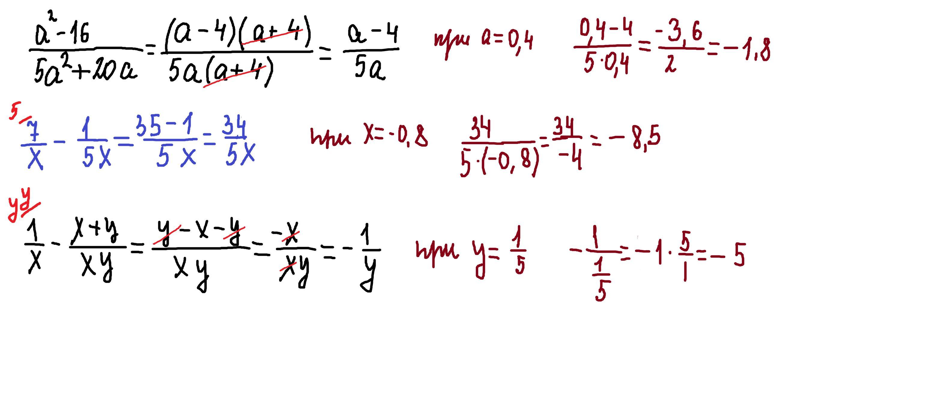
1)  

     \frac{a^{2}-16 }{5a^{2}+20a } =\frac{(a-4)(a+4)}{5a(a+4)} =\frac{a-4}{5a} ;a=0.4\\\frac{0.4-4}{5*0.4} =\frac{-3.6}{2} =-1.8

2)

     \frac{7(5}{x}- \frac{1(1}{5x} =\frac{35-1}{5x} =\frac{34}{5x} ;x=-0.8\\\frac{34}{5*(-0.8)} =\frac{34}{-4} =-8.5

3)

     \frac{1(y}{x} -\frac{x+y(1}{xy}= \frac{y-(x+y)}{xy} =\frac{y-x-y}{xy} =\frac{-x}{xy} =-\frac{1}{y} ;x=\sqrt{32} ,y=\frac{1}{5} \\-\frac{1}{1}:\frac{1}{5} =-\frac{1}{1} *\frac{5}{1} =-5

   


Sanja2071: Сейчас напишу 3, забыл вставить(
Makhamed: спасибо огромное)))
Автор ответа: parus77
0

Ответ:

Пошаговое объяснение:

решение примеров внизу

Приложения:
Похожие вопросы
Предмет: Английский язык, автор: Аноним