Предмет: Математика,
автор: ifigrov
Решите двойное неравенство.
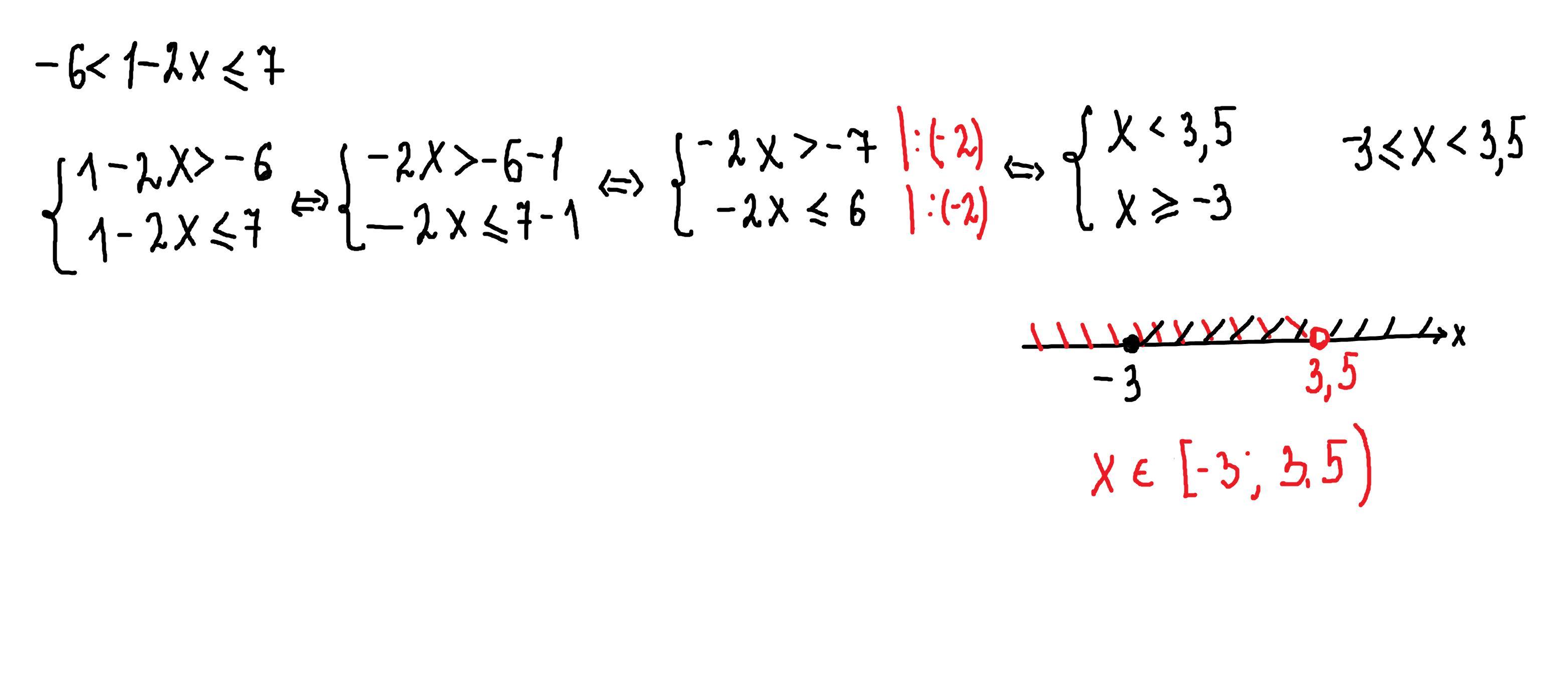
-6< 1-2x≤7
Ответы
Автор ответа:
1
Ответ:
Пошаговое объяснение:
1)1-2х<=7
-2х<=6
Х>=-3
2)-6<1-2x
-7<-2x
3,5>x
Автор ответа:
1
Ответ:
-3≤х< 3,5
Пошаговое объяснение:
Приложения:
Похожие вопросы
Предмет: Русский язык,
автор: Алиса3251
Предмет: Русский язык,
автор: марьям38
Предмет: Русский язык,
автор: Katrin1111132
Предмет: Математика,
автор: mkoshka1986
Предмет: Математика,
автор: sodeep