Предмет: Алгебра,
автор: KPYTblLIJKAA
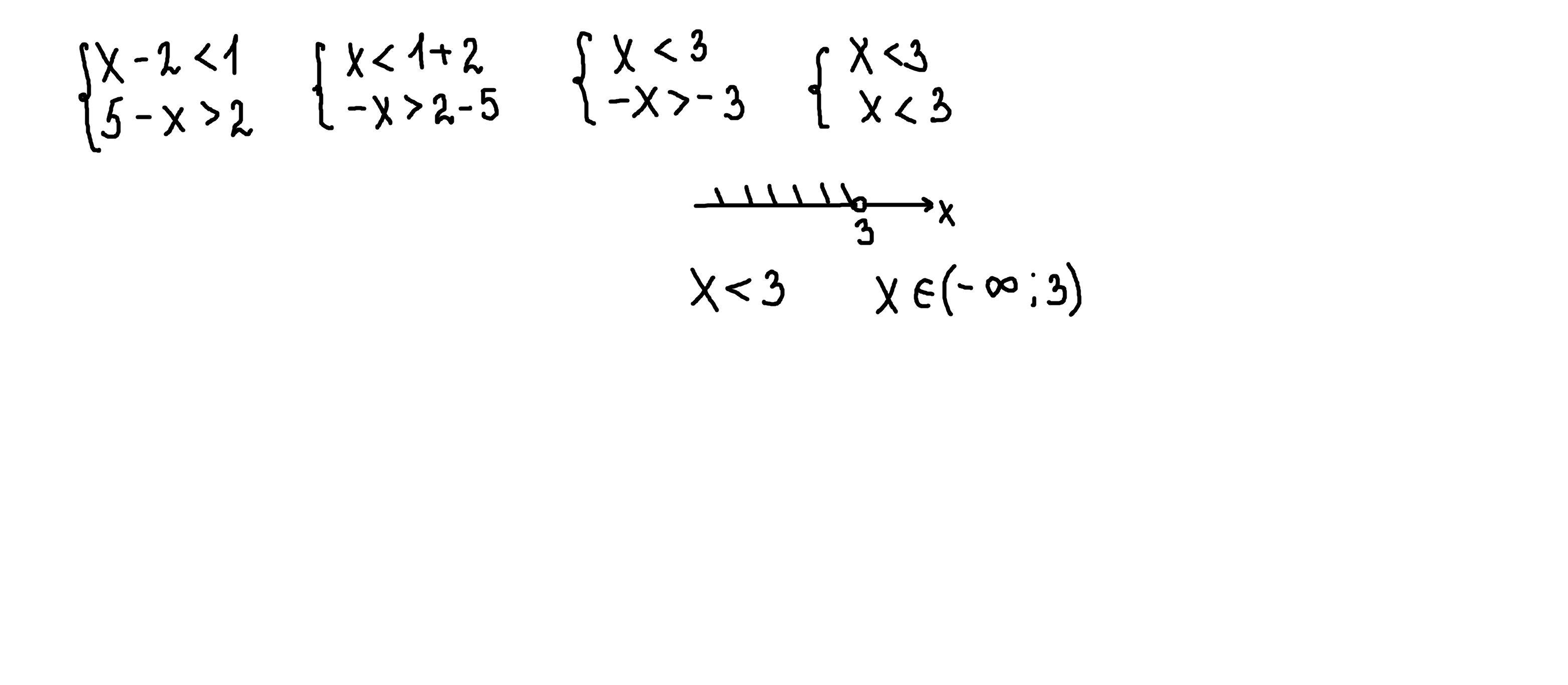
{x-2<1
5-x>2
Помогите пожалуйста, если что это большая {
Ответы
Автор ответа:
1
Ответ:
Объяснение:
решение внизу
Приложения:
KPYTblLIJKAA:
Спасибо с меня 5 звёзд))
Похожие вопросы
Предмет: Английский язык,
автор: кнр2
Предмет: Русский язык,
автор: nikita6788
Предмет: Русский язык,
автор: mashar3
Предмет: Алгебра,
автор: 1Kis
Предмет: Английский язык,
автор: znania61