Предмет: Алгебра,
автор: Andrey21vek
Решите пожалуйста) даю 50 баллов
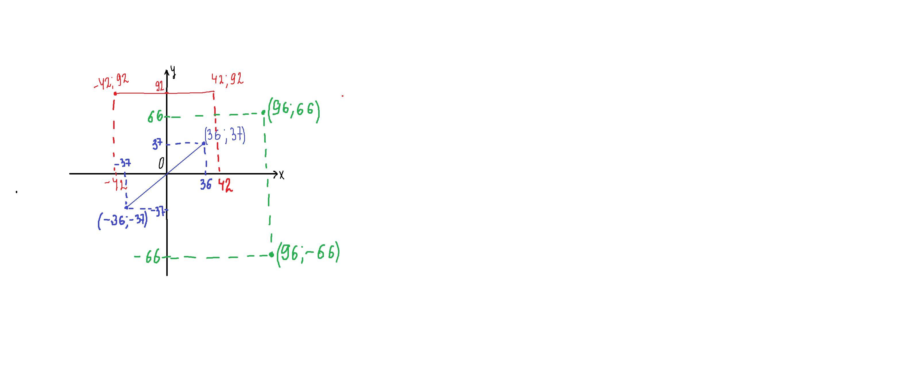
1)Точку (−42,92) отразили относительно оси ординат. Укажите ординату полученной точки.
2)Точку (36,37) отразили относительно начала координат. Укажите ординату полученной точки.
3)Точку (96,66) отразили относительно оси абсцисс. Укажите ординату полученной точки.
parus77:
(−42,92) это координата точки,которая должна быть записана (−42;92)?Да?
Ответы
Автор ответа:
0
Ответ:
Объяснение:
1) ордината 92
2)ордината -37
3)ордината -66
схематический рисунок сделала внизу
Приложения:
Похожие вопросы
Предмет: Русский язык,
автор: Аноним
Предмет: Русский язык,
автор: vikuska3335
Предмет: Окружающий мир,
автор: selena4486
Предмет: Математика,
автор: sherlok123321