Предмет: Геометрия,
автор: kidrauhl1
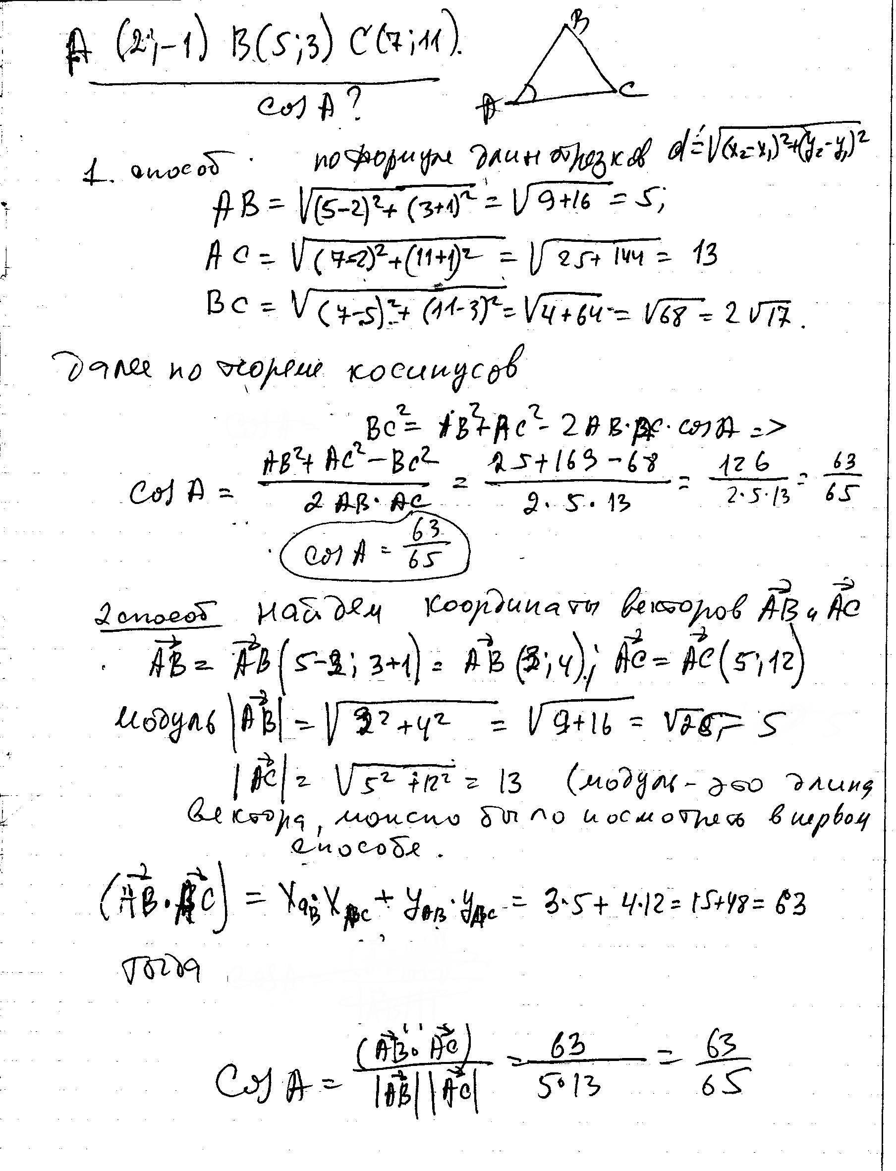
Даны три вершины треугольника ABC: A (2;-1), B (5;3), C (7;11). Найдите значение cosA
Ответы
Автор ответа:
0
Даны три вершины треугольника ABC: A (2;-1), B (5;3), C (7;11). Найдите значение cosA
Приложения:
Похожие вопросы
Предмет: Окружающий мир,
автор: mashaaab35
Предмет: Русский язык,
автор: nibel8973
Предмет: Информатика,
автор: KekMek22
Предмет: История,
автор: EMILIYA5