Предмет: Алгебра,
автор: artt4m
9 задание нужно зделать пожалуйста помогите.
Приложения:
Ответы
Автор ответа:
0
Объяснение:
...........................
Приложения:
Автор ответа:
0
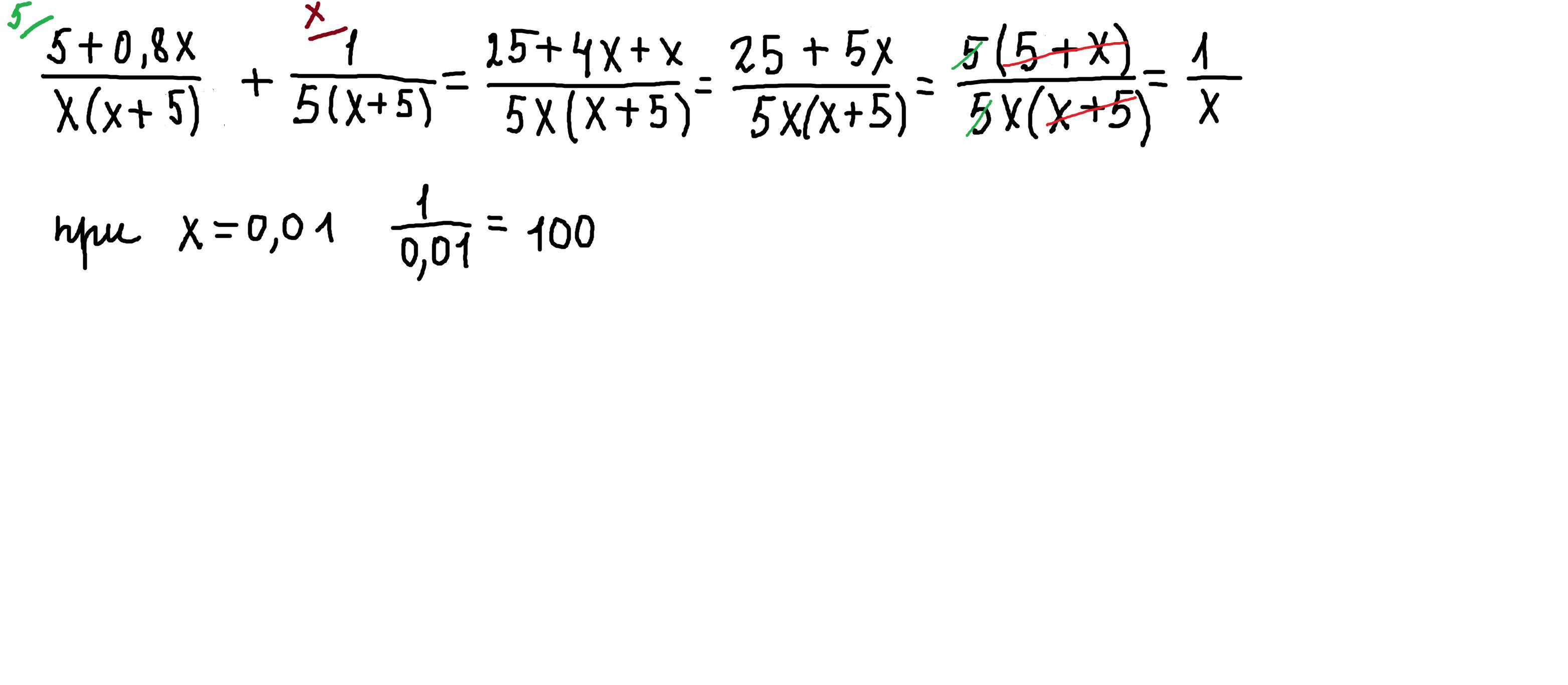
Ответ:
прих=0,01 значение выражения равно 100
Объяснение:
решение внизу
Приложения:
Похожие вопросы
Предмет: Русский язык,
автор: Олеська51
Предмет: Английский язык,
автор: Veronika2880
Предмет: Русский язык,
автор: лилок2
Предмет: Алгебра,
автор: никиткаро