Предмет: Алгебра,
автор: naysovich
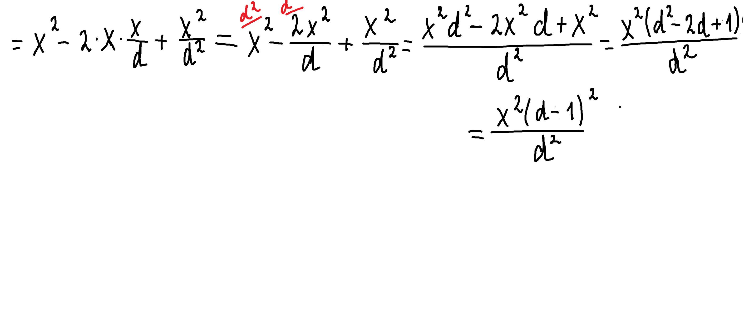
Раскрой скобки и представь в виде дроби
Приложения:
Ответы
Автор ответа:
0
Ответ:
верный ответ в первой строчке
Объяснение:
Приложения:
Похожие вопросы
Предмет: Окружающий мир,
автор: Аноним
Предмет: Қазақ тiлi,
автор: myetca
Предмет: Русский язык,
автор: ziphd
Предмет: Музыка,
автор: ail4
Предмет: Физика,
автор: Недомудрец345