Предмет: Алгебра,
автор: urazkuldusenbaeva
кімде бар ответ беріңдерш пж өтніш блин қатты қажет
Приложения:
Ответы
Автор ответа:
2
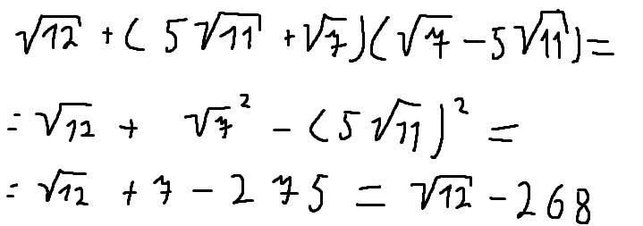
Вроде как так, используется правило
Приложения:
urazkuldusenbaeva:
Рахмет
(8√3 -3√5)(3√5+8√3)+24√15 = мына есепті шығарып берші пж
Похожие вопросы
Предмет: Литература,
автор: Аноним
Предмет: Математика,
автор: Аноним
Предмет: Физика,
автор: Narcissa17
Предмет: Алгебра,
автор: дмитрий513
Предмет: МХК,
автор: sebnemmsp