Предмет: Математика,
автор: zlata9143
алгебра 9 класс
нужно срочнооо!!
прошу помочь, тех, кто знает.
даю 20 баллов
заранее спасибо
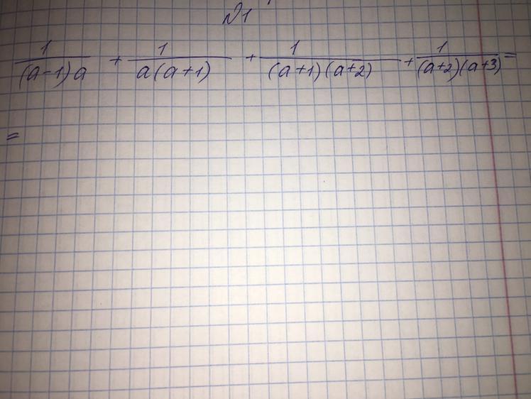
Приложения:
Ответы
Автор ответа:
0
Пошаговое объяснение:
решение на фото
ответ
Приложения:
Похожие вопросы
Предмет: География,
автор: Lukinzo
Предмет: Математика,
автор: rhgbe
Предмет: Русский язык,
автор: лоо9н
Предмет: Қазақ тiлi,
автор: malinka163