Предмет: Алгебра,
автор: vmurtazina106
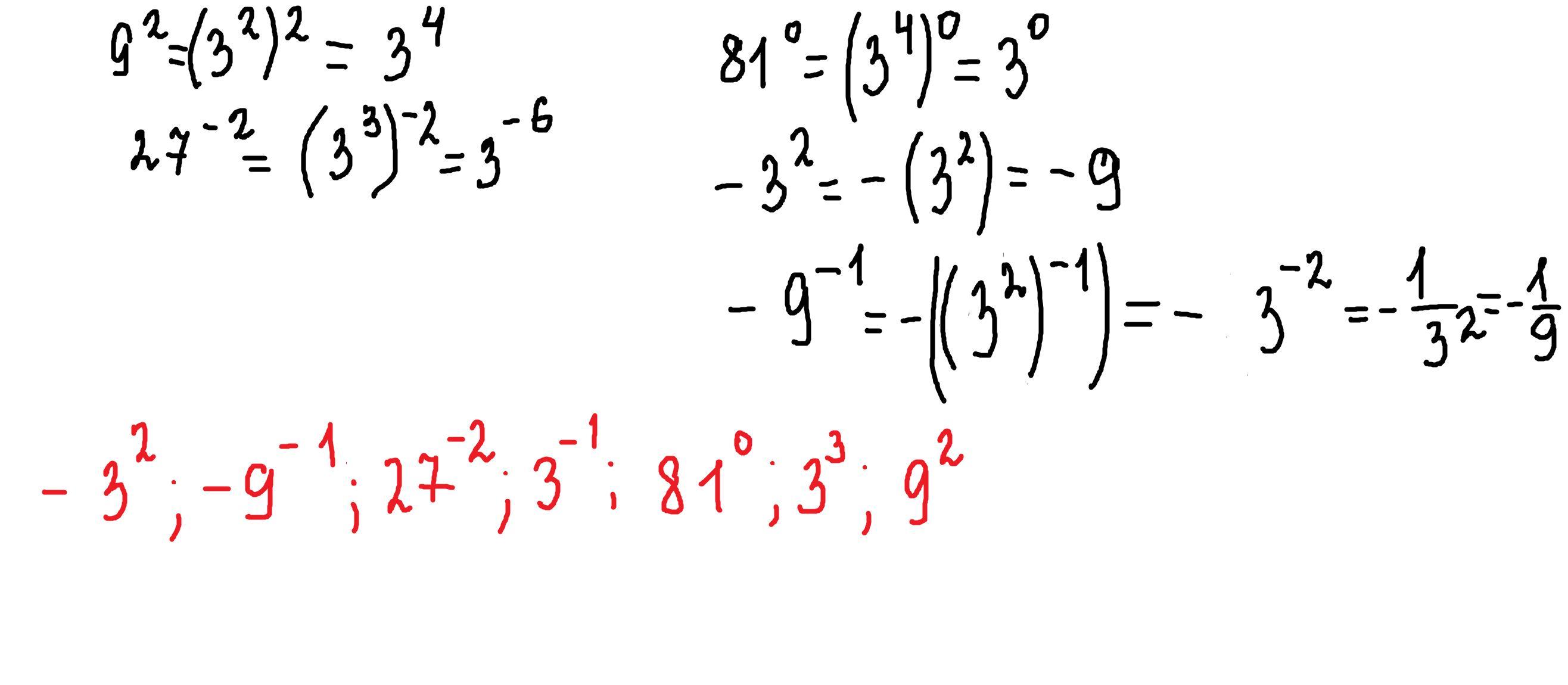
9.13. Расположите в порядке возрастания числа
Приложения:
Ответы
Автор ответа:
0
Ответ:
-3⁻² ; -9⁻¹; 27 ⁻² ; 3⁻¹ ; 81⁰ ; 3³; 9²
Объяснение:
представим числа в виде степени числа 3
Приложения:
Похожие вопросы
Предмет: Русский язык,
автор: irinakras86
Предмет: Музыка,
автор: ZnAtoK42
Предмет: Математика,
автор: jahisgdosbqlqd
Предмет: Математика,
автор: sam241
Предмет: Геометрия,
автор: alikber2004