Предмет: Алгебра,
автор: kira3721
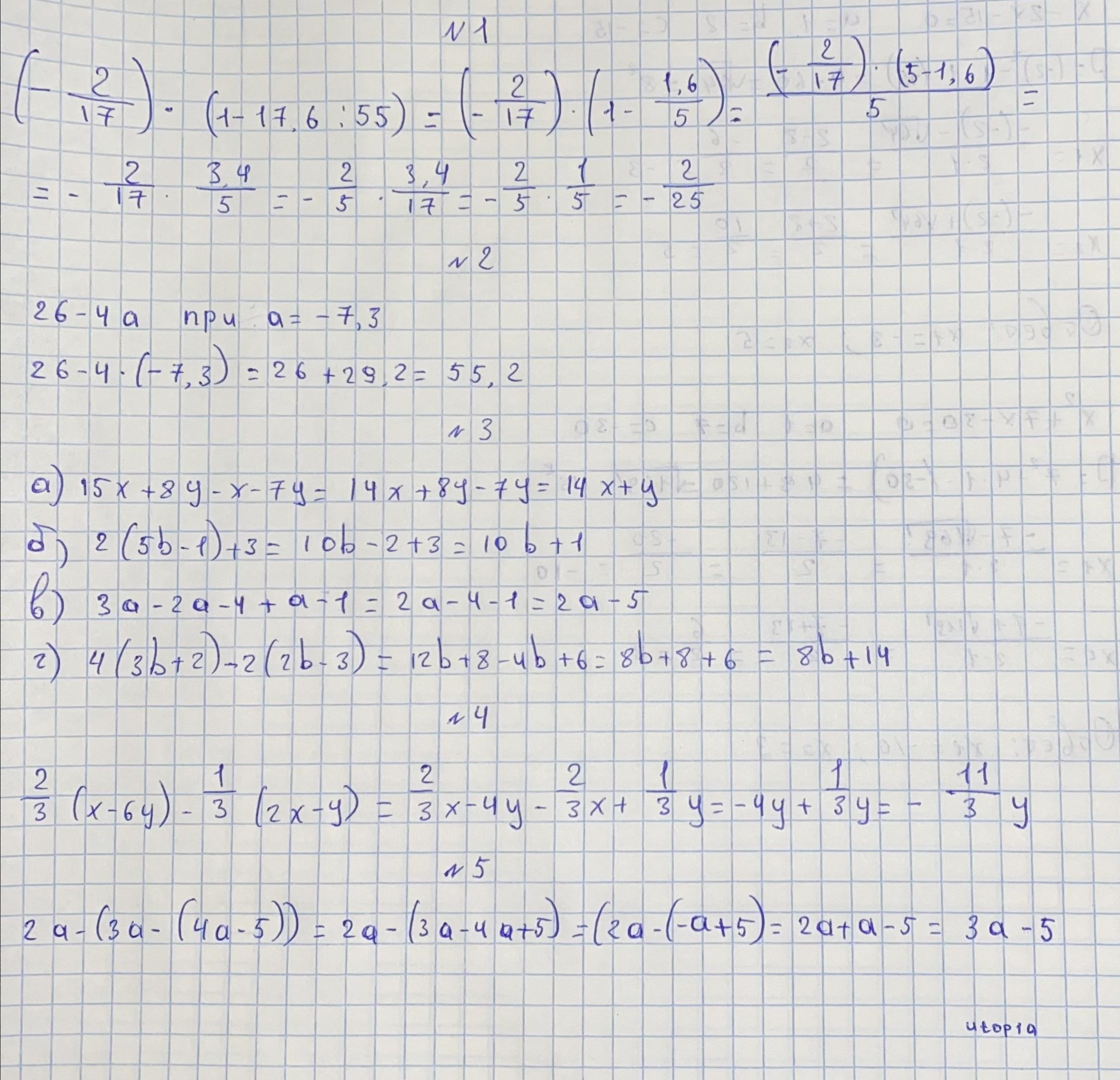
помогите пожалуйста
Приложения:
eleonaise:
В первом точно умножение возле скобок?
Ответы
Автор ответа:
0
Ответ во вложении
------------------------------
Приложения:
Похожие вопросы
Предмет: Английский язык,
автор: eva557
Предмет: Русский язык,
автор: tprot99
Предмет: Русский язык,
автор: Kolobok666
Предмет: Алгебра,
автор: Egor11126
Предмет: Биология,
автор: Uchenik739