Предмет: Математика,
автор: Aldosw
Найдите значение дроби (фото)
Приложения:
parus77:
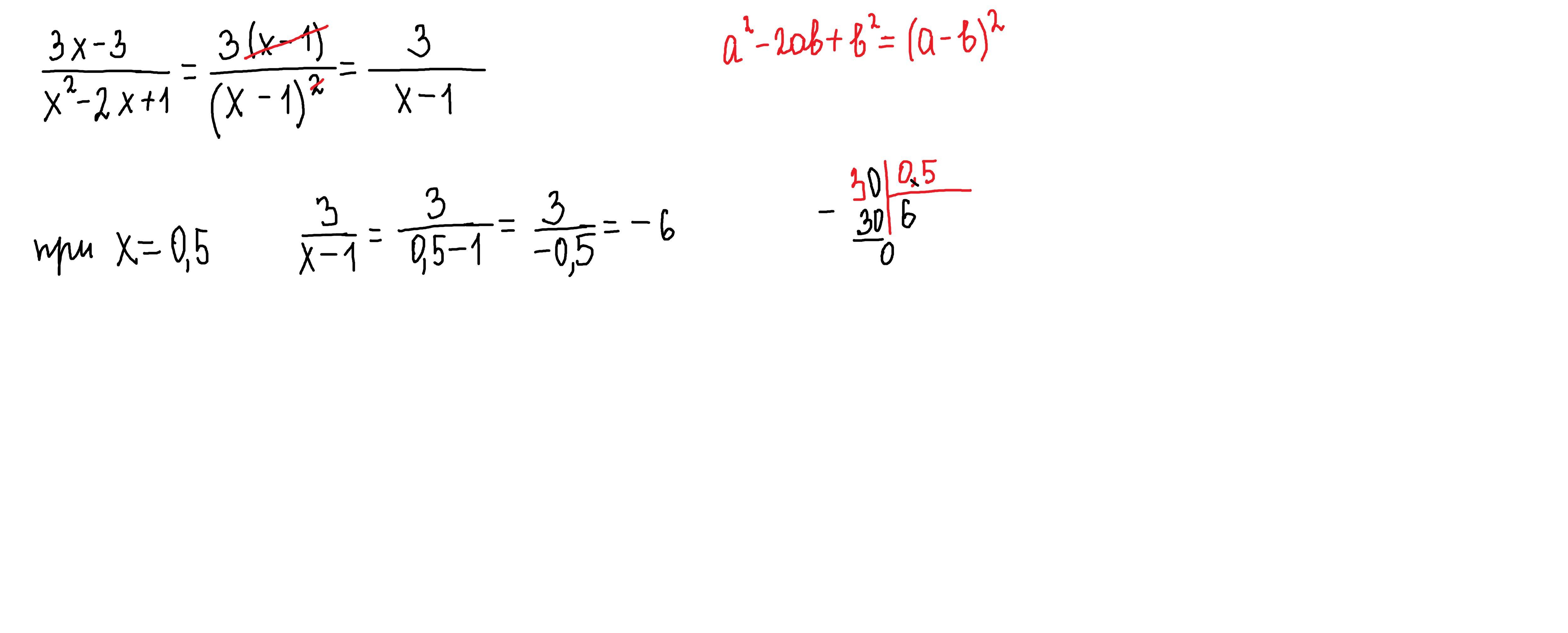
если делать по правилам,то в числителе надо 3 вынести за скобку,а в знаменателе применить формулу квадрат разности,потом сократить и уже потом подставлять х.
Ответы
Автор ответа:
1
Ответ:
-6
Пошаговое объяснение:
(3*0,5-3):(0,5²-2*0,5+1) = -1,5:0,25 = -6
Автор ответа:
0
Ответ:
-6
Пошаговое объяснение:
решение внизу
Приложения:
Похожие вопросы
Предмет: Русский язык,
автор: Аноним
Предмет: Русский язык,
автор: russdfhjjjj56
Предмет: Русский язык,
автор: LERALERA2008
Предмет: Алгебра,
автор: Morthinok