Предмет: Алгебра, автор: misaulka

помагите пожалуйста ​

Приложения:

Ответы

Автор ответа: jfrhbd
1

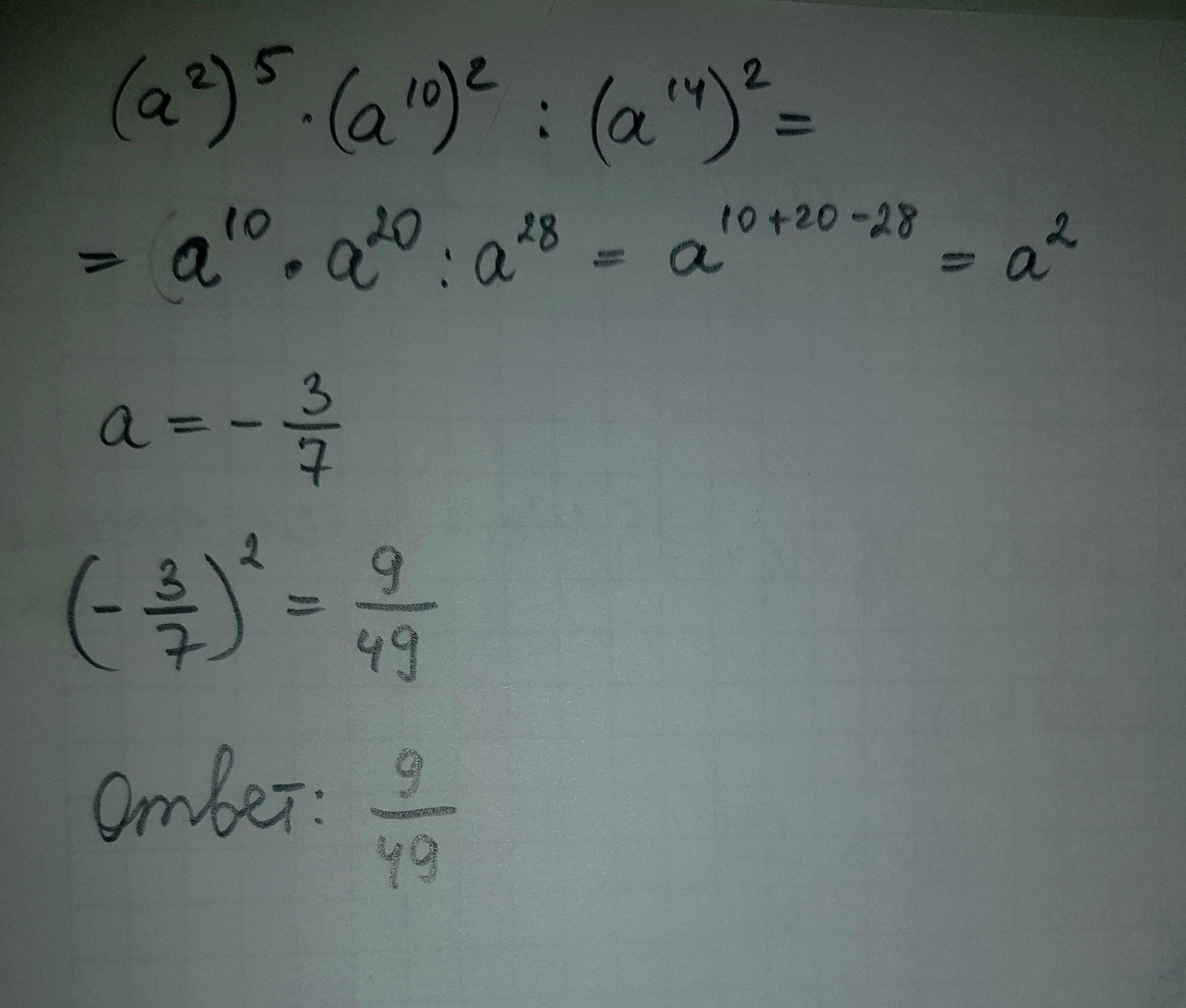
Решение смотри на фото

Приложения:
Автор ответа: tatsach
1

Ответ:

Объяснение:

... ......

Приложения:
Похожие вопросы
Предмет: Английский язык, автор: хадижа24
Предмет: Русский язык, автор: Ксюшафав
Предмет: Английский язык, автор: хххх7
Предмет: Математика, автор: annalitvinova2005