Предмет: Математика,
автор: Аноним
Срочно !! помогите пожалуйста решить дроби на фото.
Приложения:
Аноним:
Помогите пожалуйста кто нибудь!???
Ответы
Автор ответа:
0
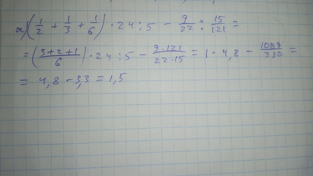
Ответ:
1,5
Пошаговое объяснение:
Приложения:
почему Ты списал с интернета? мне нужно поставить 1 какое? 2 какое
Автор ответа:
0
Пошаговое объяснение:
♡♡♡♡♡♡♡♡♡♡♡♡♡♡♡♡♡♡♡♡♡♡♡♡♡♡♡
Приложения:
Похожие вопросы
Предмет: Русский язык,
автор: Аноним
Предмет: Русский язык,
автор: shefer84
Предмет: Русский язык,
автор: Аноним
Предмет: Алгебра,
автор: Бахбахбах
Предмет: Другие предметы,
автор: шанща6швнэгевкды