Предмет: Алгебра,
автор: Бахбахбах
7 класс.Вынесение общего множителя за скобки.
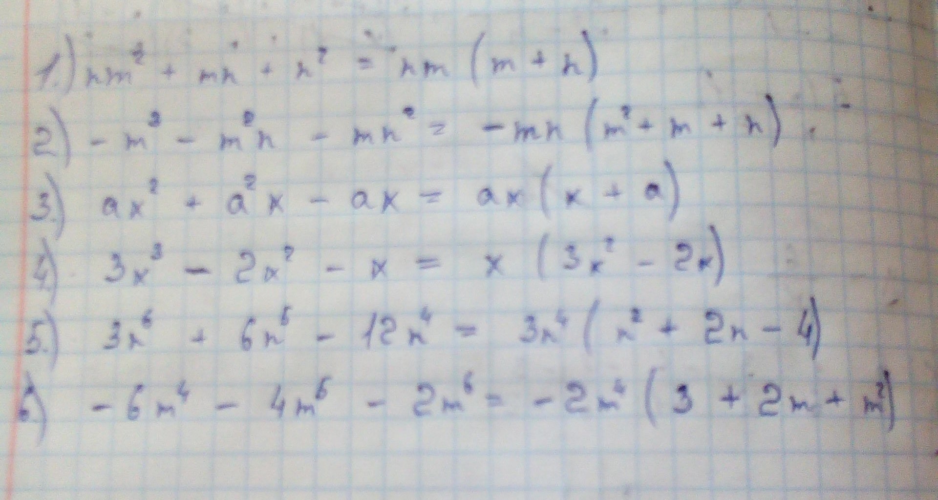
820.Разложите на множители.
1. nm^2+mn+n^2
2. -m^3-m^2n-mn^2
3. ax^2+a^2x-ax
4.3x^3-2x^2-x
5. 3n^6+6n^5-12n^4
6. -6m^4-4m^5-2m^6
Если что то этот знак ( ^ ) это знак степени
Заранее спасибо добрые люди ❤❤❤
Ответы
Автор ответа:
0
Вроде как то так..... Если не ошибаюсь.
Приложения:
valera142004:
неправильно только первое
Это да... Прости я спешила... Надо было письмо срочно отправить.
Похожие вопросы
Предмет: Математика,
автор: arihdhdh
Предмет: Русский язык,
автор: xatfray
Предмет: Математика,
автор: zanbolattagybaj
Предмет: Литература,
автор: ня6амилаша