Предмет: Математика,
автор: katesmirrn
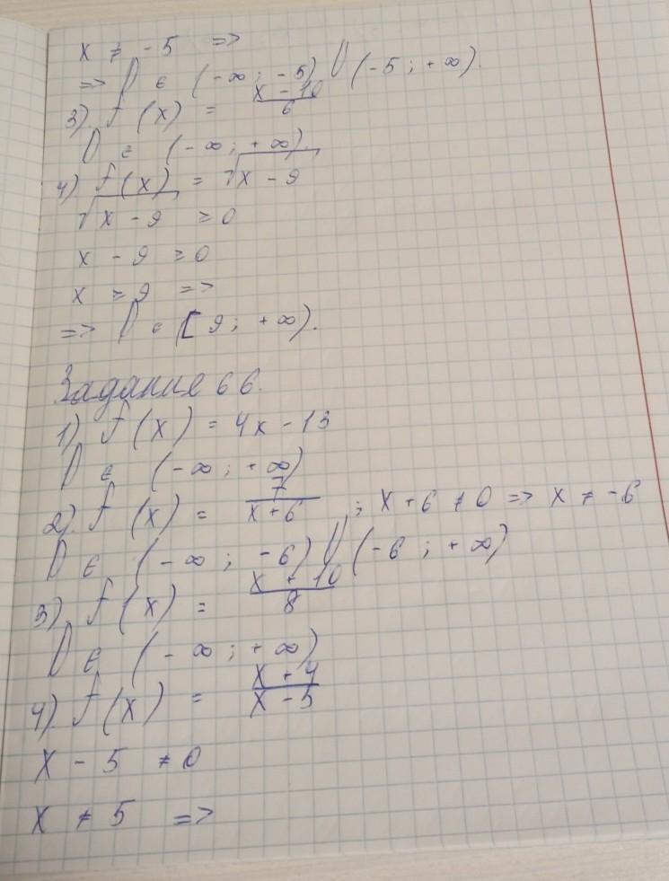
помогите пожалуйста, надо с решением
Приложения:
Ответы
Автор ответа:
0
Ответ:
Смотреть фото
Пошаговое объяснение:
Смотреть фото
Приложения:
katesmirrn:
можно пожалуйста с функциями?
Здравствуйте. Вы имеете в виду название функций?
нет, сами функции
Графики функций?)
да
Ждите
Извините, не могу прикрепить фотографии :(
Похожие вопросы
Предмет: Русский язык,
автор: Gylziya1983
Предмет: Русский язык,
автор: alina172003
Предмет: Русский язык,
автор: dnkagame
Предмет: Геометрия,
автор: alenadiamon