Предмет: Алгебра,
автор: veronikadiy
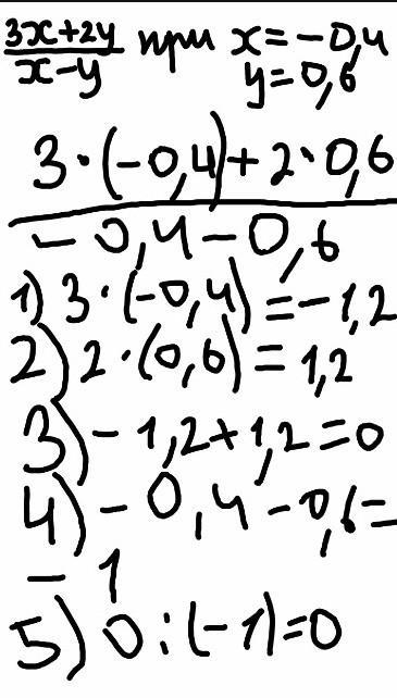
Найдите значение дроби при указанных значениях переменных:
Приложения:
Ответы
Автор ответа:
1
Объяснение:
вроде понятно.
Приложения:
Похожие вопросы
Предмет: Английский язык,
автор: perevod1
Предмет: Английский язык,
автор: Настя5847631
Предмет: Английский язык,
автор: pomogite39
Предмет: Математика,
автор: zargarova86