Предмет: Алгебра, автор: TheIZeR

пж нужно срочно 25 баллов 7 класс​

Приложения:

Ответы

Автор ответа: JustEga
1

Ответ:

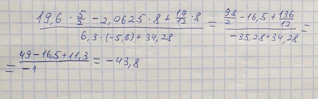
-43.8

Объяснение:

Фото................

Приложения:
Автор ответа: belcekovaviktoria
1

Ответ:

-43,83....................

Приложения:
Похожие вопросы
Предмет: Английский язык, автор: tom04022000
Предмет: Қазақ тiлi, автор: жап1
Предмет: Русский язык, автор: НикольV
Предмет: Биология, автор: Аноним
Предмет: Русский язык, автор: KarinaAnoprienko