Предмет: Алгебра, автор: maslovakristina971

решите пжпжпжпж!!!! дам 30 БАЛОВ!!!​

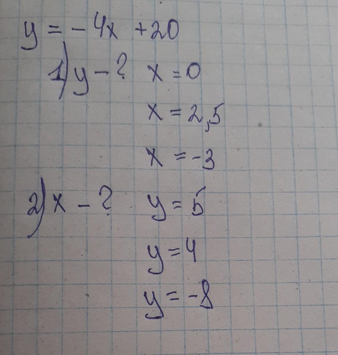
Приложения:

Ответы

Автор ответа: strashhrt
2

Ответ:

Вот

Объяснение:

Наверное вот так...

Приложения:

maslovakristina971: там есть ещё 2ое уравнение 2)x-? y=5 y=4 y=8
strashhrt: Я его не поняла как делать(
Orangesss: В первом ошибка.
Orangesss: -4 × 0 + 20 = 0 + 20 = 20, а не -20.
strashhrt: Извиняюсь
Orangesss: Ничего страшного)
Похожие вопросы
Предмет: Английский язык, автор: Лена345686
Предмет: Русский язык, автор: лолла3
Предмет: Алгебра, автор: помогите4635