Предмет: Математика,
автор: annamor843
Срочно!!
*належить множині цілих чисел
Решение пожалуйста
Приложения:
MatrixOfsciences:
только 34?
Ответы
Автор ответа:
0
Пошаговое объяснение:
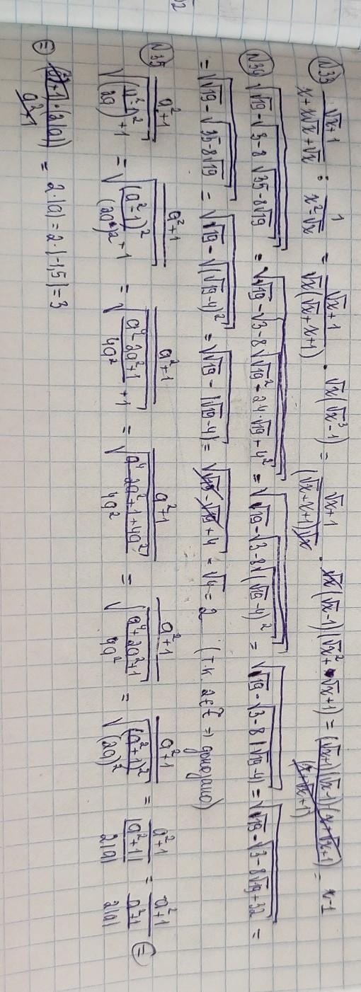
Решение представлено на фото)
Приложения:
Похожие вопросы
Предмет: Русский язык,
автор: Kamilaya
Предмет: Қазақ тiлi,
автор: Расул1111111
Предмет: Русский язык,
автор: Kamilaya
Предмет: Геометрия,
автор: getfriday
Предмет: Математика,
автор: уцнпугиГИУГИЫУА