Предмет: Математика,
автор: Аноним
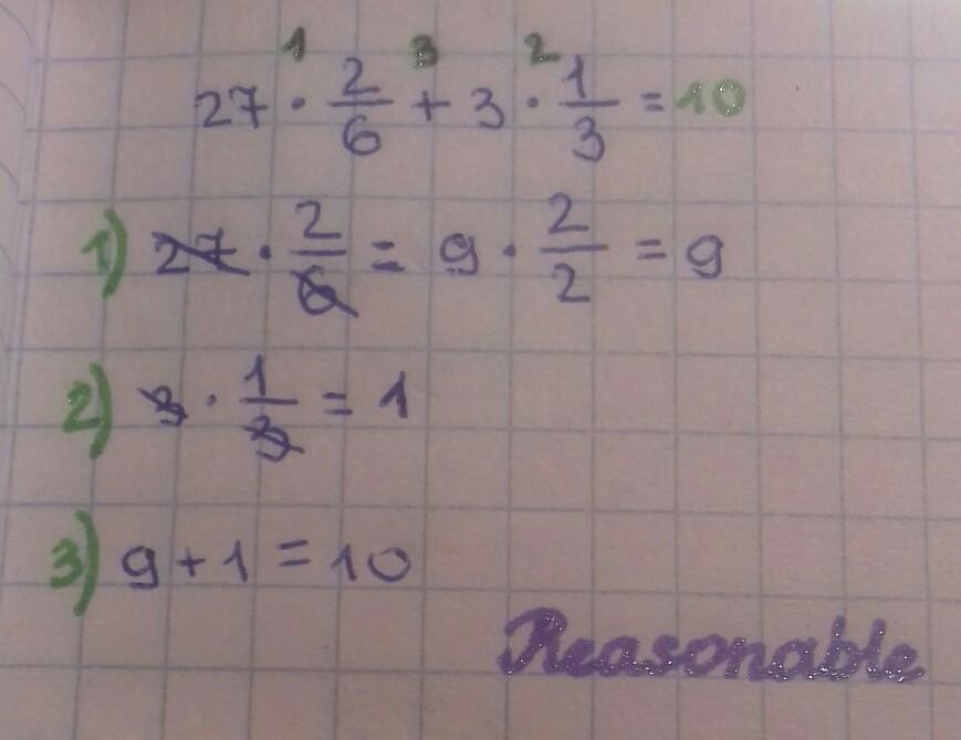
решите пример "27×2/6+3×1/3", с решением!
Ответы
Автор ответа:
1
Ответ:
10
Пошаговое объяснение:
27×2/6+3×1/3=54/6+3/3=9+1=10
Автор ответа:
3
Решение и ответ на фотографии
Приложения:
Похожие вопросы
Предмет: Английский язык,
автор: lepkalovvv
Предмет: Английский язык,
автор: lepkalovvv
Предмет: Русский язык,
автор: ййй7
Предмет: История,
автор: магнолия4
Предмет: Математика,
автор: азиза87