Предмет: Математика, автор: vilsru01

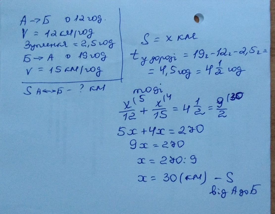
Щоденно о 12 годині дня від пристані А до пристані Б відправляється по річці пасажирський катер. Весь шлях від А до Б катер проходить без зупинки з швидкістю 12 км/год. Затративши на зупинку біля пристані 2,5год, катер відправляється назад і, пройшовши весь шлях без зупинки з швидкістю 15км/год, прибуває до пристані А о 19 год того самого дня. Знайти відстань від А до Б

Ответы

Автор ответа: MarinaSkorina
0

Ответ:

Відстань від А до Б 30 км. Рішення у фото.

Приложения:

vilsru01: Дуже дякую!
Похожие вопросы
Предмет: Қазақ тiлi, автор: Катюшка12356
Предмет: Биология, автор: sonechka223
срочно 1 правильный оттвет
к высшим спровым растениям относят голосеменные покрытосеменные папоротниковидны водоросли
2.морская капуста это хлорелла кладофора фукус ламинария
3.размноение мхов связано с водой так как
зигота развивается в водной среде
сперматозоиды по воде проникают к яйцеклетке
резоиды поглощают много воды
яйцеклетка без воды не передвигается в зиготу
4.какое растение относят к листопадным лиственницу кипарис сосну ель
5. какое растение образует семена кукушкин лён хвощ полевой щитовник мужской лиственница европейская
6.папоротниковидные это царство отдел класс семейство

выберите 2 овета верных
мхи в отличие от папоротников
имеют резоиды
размножкаются спорами
споры в коробочках
травянистые формы
имеют предросток похожий на нить водоросли
образуют половые клетки


установите соответствие
зелёные или красные
хлорелла
порфира
спирогира
филлофора
хламидомоната

установите соответствие
папоротниковидные голосеменные

образуют шишки
семезачатки на чешуях
размножение связано с водой
большинство травянистые растения
заростки тонкие зелёные пластинки


Предмет: Математика, автор: Emerson4643