Предмет: Алгебра, автор: vikacekan1

Упростите выражение, пожалуйста

Приложения:

Ответы

Автор ответа: Universalka
1

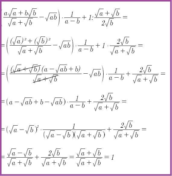
1)\dfrac{a\sqrt{a} +b\sqrt{b} }{\sqrt{a}+\sqrt{b}} -\sqrt{ab}=\dfrac{(\sqrt{a})^{3}+(\sqrt{b})^{3}}{\sqrt{a} +\sqrt{b} } -\sqrt{ab}=\\\\=\dfrac{(\sqrt{a}+\sqrt{b})(a-\sqrt{ab}+b)   }{\sqrt{a}+\sqrt{b} }-\sqrt{ab} =a-\sqrt{ab} +b-\sqrt{ab} =\\\\=a-2\sqrt{ab}+b=(\sqrt{a} -\sqrt{b})^{2}

2)(\sqrt{a} -\sqrt{b})^{2} \cdot\dfrac{1}{a-b} =(\sqrt{a} -\sqrt{b})^{2} \cdot\dfrac{1}{(\sqrt{a})^{2}-(\sqrt{b})^{2}}=\\\\=\dfrac{(\sqrt{a}-\sqrt{b})^{2}}{(\sqrt{a} -\sqrt{b})(\sqrt{a} +\sqrt{b})}=\dfrac{\sqrt{a} -\sqrt{b} }{\sqrt{a}+\sqrt{b}} \\\\\\3)1:\dfrac{\sqrt{a}+\sqrt{b}}{2\sqrt{b} }=1\cdot \dfrac{2\sqrt{b} }{\sqrt{a} +\sqrt{b} }=\dfrac{2\sqrt{b} }{\sqrt{a} +\sqrt{b} }

4)\dfrac{\sqrt{a}-\sqrt{b}}{\sqrt{a}+\sqrt{b}} +\dfrac{2\sqrt{b} }{\sqrt{a}+\sqrt{b}} = \dfrac{\sqrt{a}-\sqrt{b}+2\sqrt{b} }{\sqrt{a}+\sqrt{b}}=\dfrac{\sqrt{a}+\sqrt{b}}{\sqrt{a}+\sqrt{b}}=\boxed1

Автор ответа: bb573878
2

Ответ:

Объяснение:

``````````````````````````````````````````````````````

Приложения:
Похожие вопросы
Предмет: Литература, автор: zaharovveselov