Предмет: Алгебра,
автор: polinatrushina3
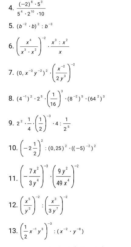
помогите пожалуйста!!!! очень срочно!!!!
Приложения:
Ответы
Автор ответа:
1
Ответ:
..............
Объяснение:
решение на фото
Приложения:
Похожие вопросы
Предмет: Русский язык,
автор: elenabarnaevask
Предмет: Русский язык,
автор: Аноним
Предмет: Русский язык,
автор: 1ппро
Предмет: Русский язык,
автор: vyxodceva87bkru
Предмет: Биология,
автор: sabinarustamova06