Предмет: Алгебра, автор: saintssam

Помогите пожалуйста с производными

Приложения:

Ответы

Автор ответа: Miroslava227
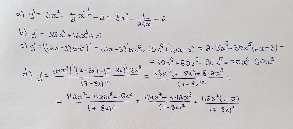
1

Ответ:

решение на фотографии.

Приложения:
Автор ответа: NNNLLL54
0

Ответ:

a)y=x^3-\sqrt{x}-2x-6\ \ ,\ \ \ y'=3x^2-\dfrac{1}{2\sqrt{x}}-2\\\\\\b)\ \ y=7x^5+3x^4+5x-1\ \ ,\ \ \ y'=35x^4+12x^3+5\\\\\\c)\ \ y=(2x-3)\cdot 5x^6=10x^7-15x^6\ \ ,\ \ \ y'=70x^6-90x^5\\\\\\d)\ \ y=\dfrac{2x^3}{7-8x}\ \ ,\ \ \ y'=\dfrac{6x^2(7-8x)+8\cdot 2x^3}{(7-8x)^2}=\dfrac{42x^2-32x^3}{(7-8x)^2}=\dfrac{2x^2\, (21-16x)}{(7-8x)^2}

Похожие вопросы